728x90
반응형
■ 한국인의 성씨(姓氏) 및 본관(本貫) 별 인구 수
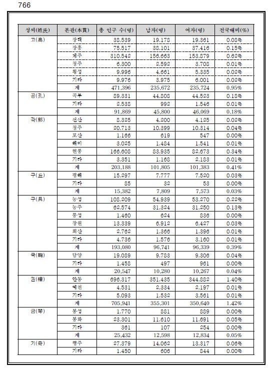
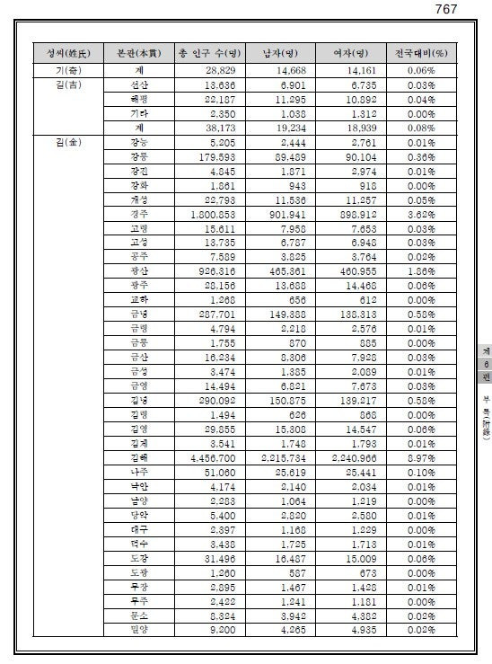
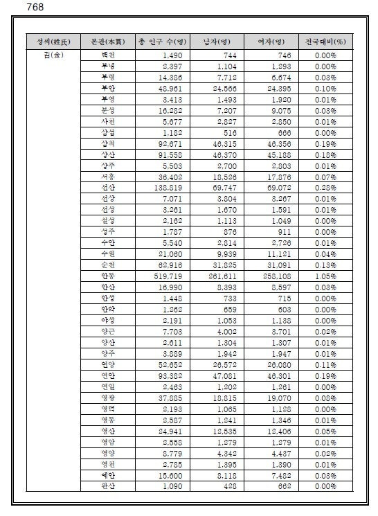
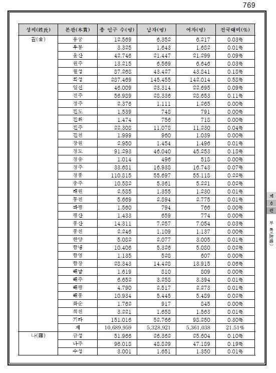
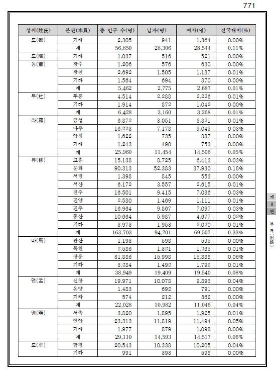
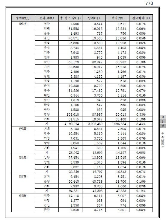
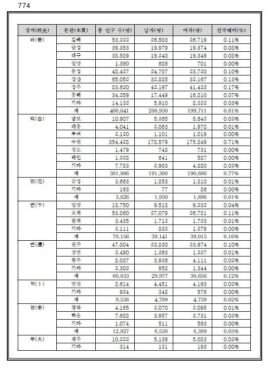
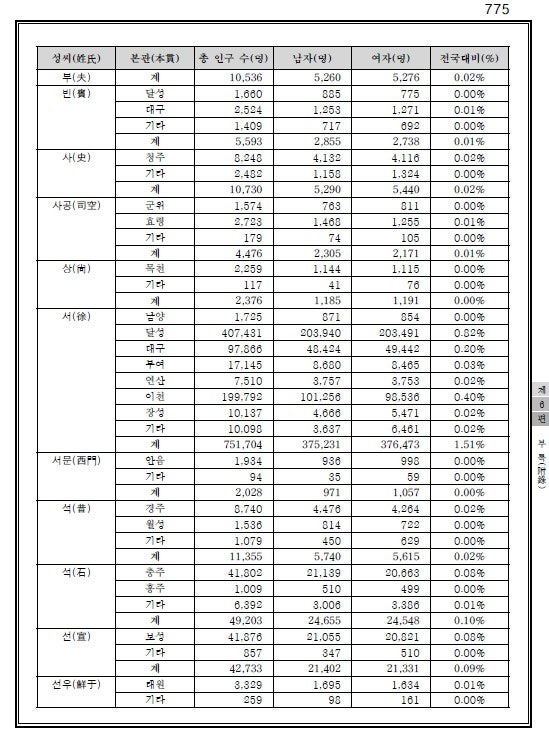
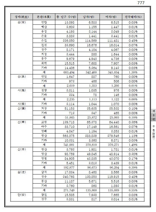
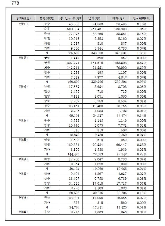
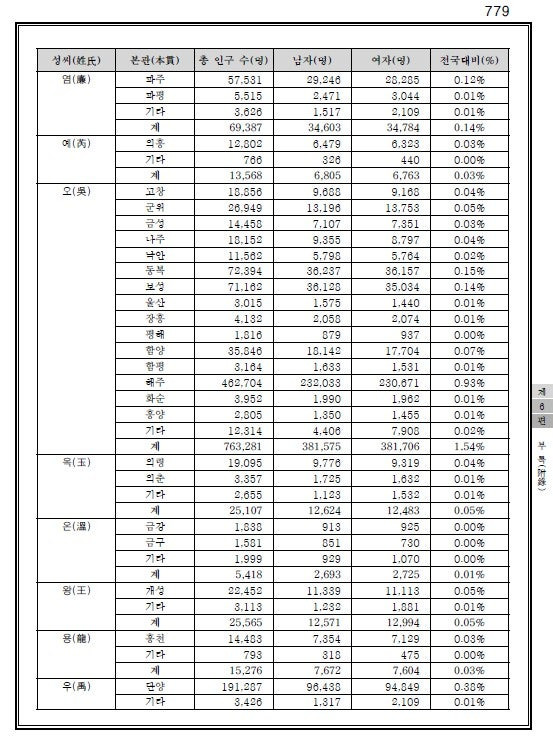
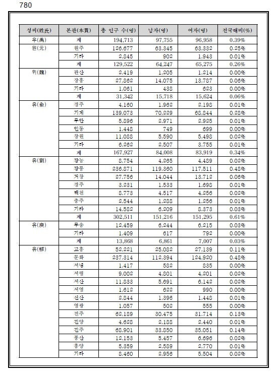
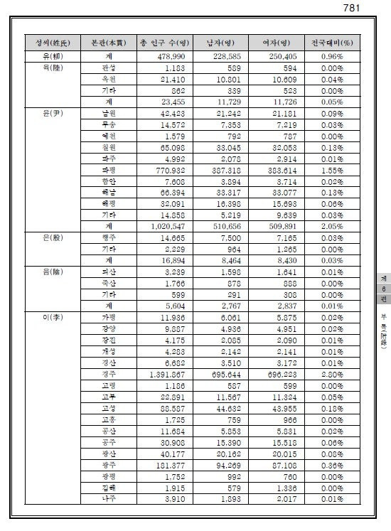
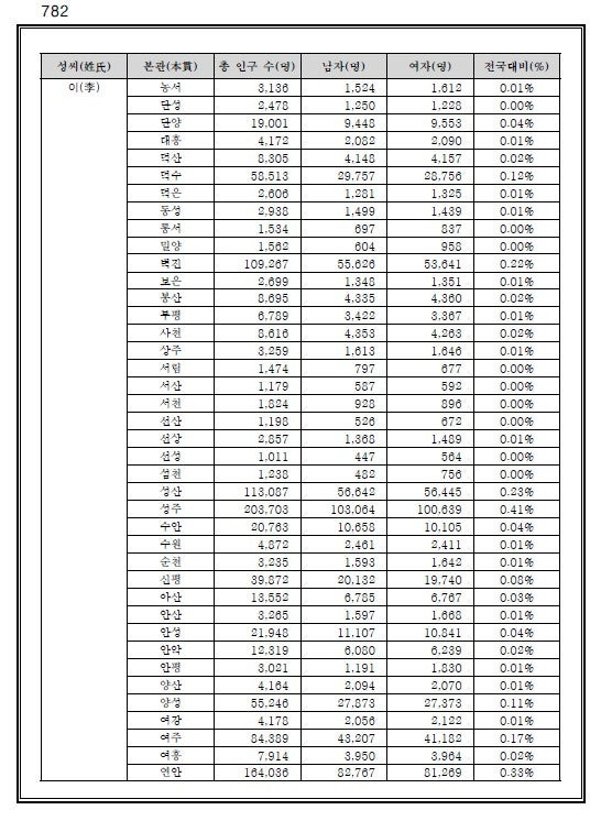
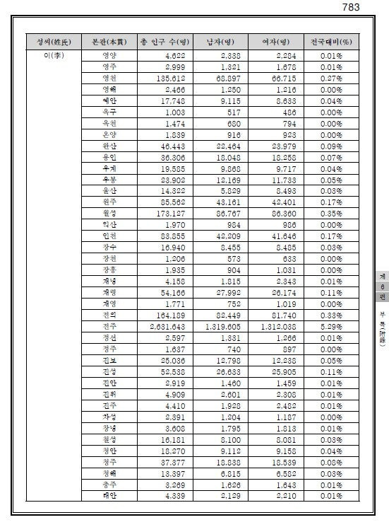
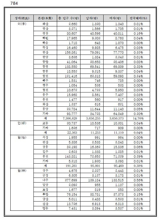
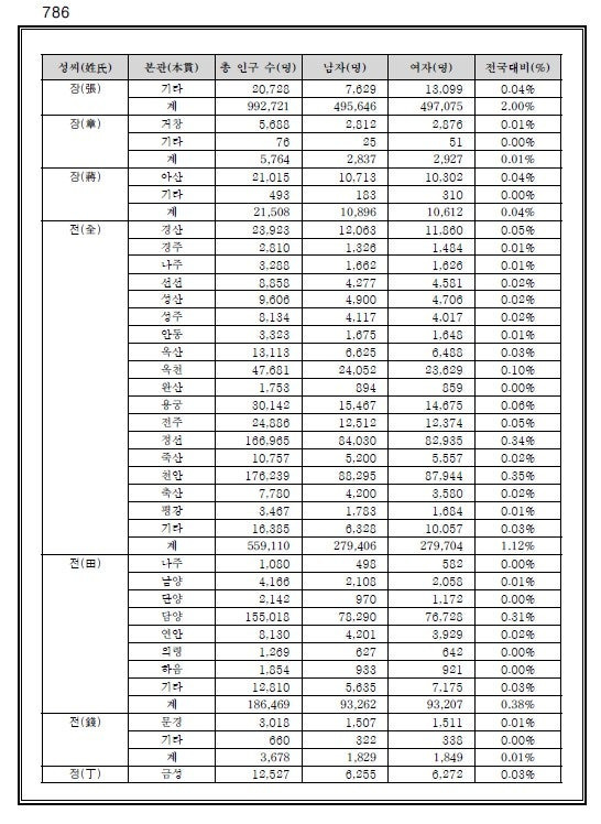
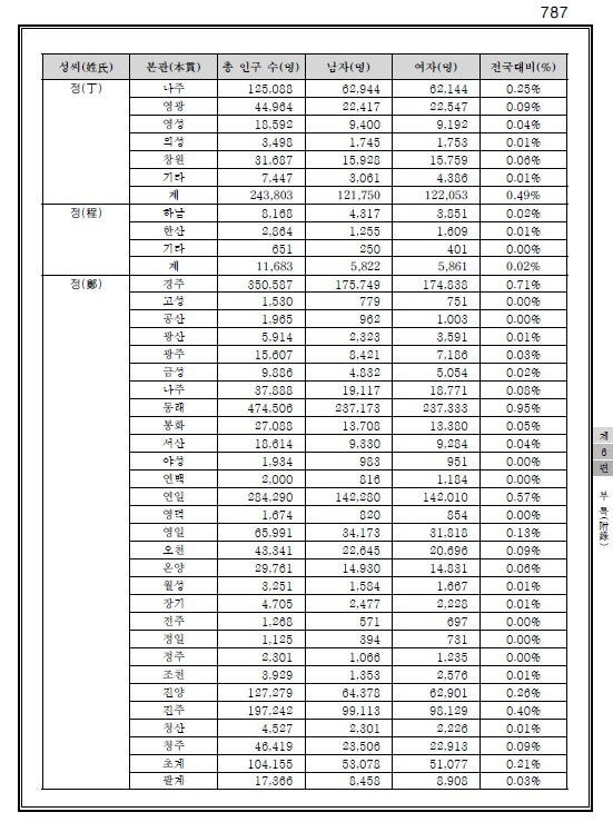
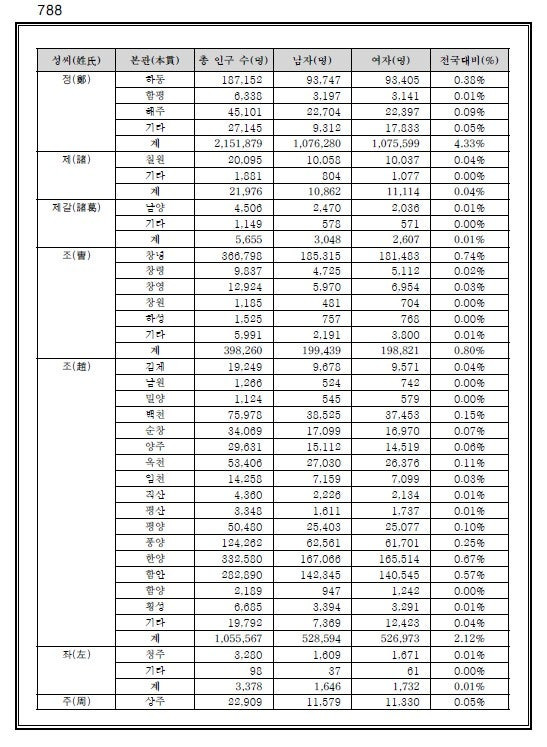
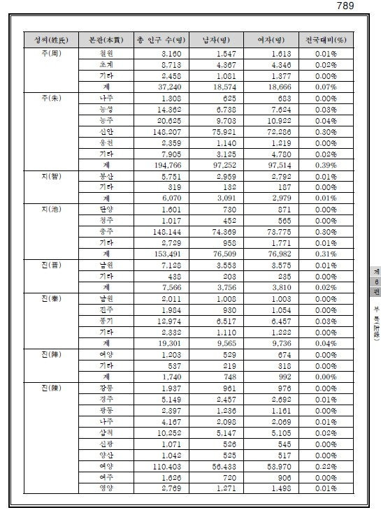
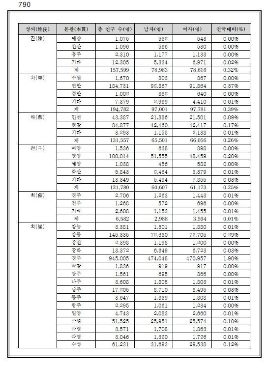
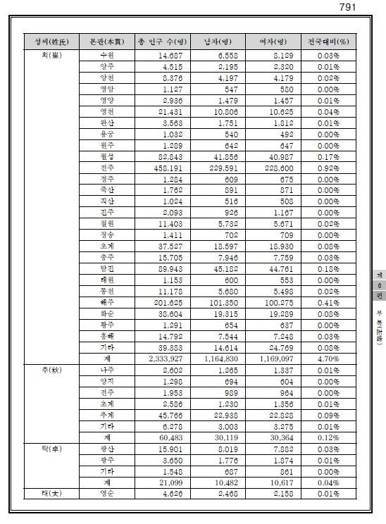
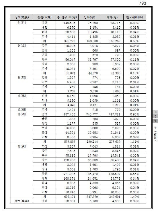
2015년 대한민국 통계청이 실시한 인구총조사 통계에 근거하여 성씨 및 본관 별 인구를 총망라하여 소개합니다 (인구총조사는 15년마다 실시).
- 대한민국 전체 인구수 : 49,705,663명
- 5인 이상의 성씨 본관 : 532개
- 기타 : 91,107명
#한국인의_성씨_및_본관_별_인구 #성씨_및_본관_별_인구
2015년 대한민국 통계청이 실시한 인구총조사 통계에 근거하여 성씨 및 본관 별 인구를 총망라하여 소개합니다 (인구총조사는 15년마다 실시).
- 대한민국 전체 인구수 : 49,705,663명
- 5인 이상의 성씨 본관 : 532개
- 기타 : 91,107명
#한국인의_성씨_및_본관_별_인구 #성씨_및_본관_별_인구
728x90
반응형
'문중의 유래와 조형물' 카테고리의 다른 글
| 전주 이씨(全州李氏)의 선원파계 왕자군(104왕자) : 석보군(石保君)파 약사 (1) | 2025.09.23 |
|---|---|
| 전주 이씨(全州李氏)의 선원파계 왕자군(104왕자) : 임언군(林堰君)파 약사 (5) | 2025.07.28 |
| 전주 이씨(全州李氏)의 선원파계 왕자군(104왕자) : 수도군(守道君)파 약사 (10) | 2025.07.23 |
| 한국족보 유네스코 세계기록유산 등재 추진위 출범 (4) | 2025.07.22 |
| 전주 이씨(全州李氏)의 선원파계 왕자군(104왕자) : 선성군파 약사 (5) | 2025.07.10 |








































